V zadnjem obdobju se srečujemo s trendom visokega vnosa ogljikovih hidratov (90 gramov na uro ali več) med treningi in tekmovanji. Kako pa razporediti ta vnos? Na to vprašanje odgovarjamo v današnjem članku, v katerem predstavljamo rezultate nedavno objavljene študije, ki smo jo izvedli v Human performance centru. Vabljeni k branju!
Glede na dosedanja znanstvena dognanja je na področju ogljikovih hidratov znanih že kar nekaj pomembnih izhodišč, iz katerih smo izhajali pri zasnovi študije:
- Dovolj visok vnos ogljikovih hidratov v obdobju zahtevne vadbe izboljša zmogljivost kolesarjev oziroma večine športnikov.
- Strategija polnjenja glikogenskih zalog dan pred večurno cestno kolesarsko dirko pomembno vpliva na zmogljivost kolesarja. Eden izmed glavnih ciljev je »pripeljati« kolesarja v zaključni oziroma najbolj pomemben del tekmovanja s čim večjo razpoložljivostjo ogljikovih hidratov, kar poenostavljeno pomeni, da bo imel na razpolago več energije ter posledično več možnosti za dober športni rezultat oziroma zmago.
- Med večurno cestno kolesarsko dirko se priporoča vnos 90 gramov ogljikovih hidratov na uro, kar pomembno pripomore k boljši zmogljivosti kolesarja.
Pred izvedbo naše študije pa je bilo manj znano, kako razporediti priporočeni vnos 90 gramov ogljikovih hidratov na uro oziroma kaj se zgodi s telesno zmogljivostjo, če ob dovolj visokem vnosu ogljikovih hidratov med vadbo izvedemo različne strategije in razporeditve vnašanja ogljikovih hidratov. Osnovni namen študije je bil primerjati tri različne strategije vnašanja ogljikovih hidratov med simulacijo dirke (naraščajoč, konstanten in padajoč vnos) in ugotoviti, katera prehranska strategija je ob zaključku simulirane dirke najbolj učinkovita ter kaj se med posamezno strategijo dogaja z oksidacijo ogljikovih hidratov in maščob. Spremljali smo tudi določene druge parametre – frekvenco srčnega utripa, občutek napora in udobje prebavnega trakta (občutek slabosti, polnost želodca, želodčni krči).
Hipoteza študije:
Na podlagi aktualne literature smo domnevali, da bo strategija povečanja razpoložljivosti vnešenih ogljikovih hidratov (naraščajoč vnos) v povezavi s postopnim izčrpavanjem glikogenskih zalog med dolgotrajno vzdržljivostno vadbo predstavljala optimalno strategijo porazdelitve ogljikovih hidratov. Tak pristop bi lahko maksimiziral razpoložljivost vnešenih ogljikovih hidratov proti koncu vadbe, hkrati pa preprečil zgodnje zaviranje oksidacije maščob in zmanjšal gastrointestinalne težave.
Kako je potekala študija?
Študija je temeljila na štirih obiskih laboratorija. Najprej so udeleženci opravili uvodni spoznavno-informativni in testni obisk, nato pa še tri eksperimentalne obiske (na tešče), ki so bili pogojeni z uspešno opravljenim testom zmogljivosti na uvodnem obisku. Med eksperimentalnimi obiski so med 180-minutnim kolesarjenjem udeleženci prejemali napitke s povprečnim vnosom 90 gramov ogljikovih hidratov na uro, pri čemer so bili napitki različno porazdeljeni.

Kaj smo ugotovili?
Ugotovili smo, da med strategijami z naraščajočim, konstantnim in padajočim vnosom ogljikovih hidratov ni bilo statistično značilnih razlik v povprečni moči kolesarjev med simulacijo dirke na čas in pri času do nastopa utrujenosti.

Prav tako pa ni prišlo do statistično značilnih razlik med pogoji v merjenju oksidacije ogljikovih hidratov in maščob. Zaznali smo sicer, da je bila oksidacija ogljikovih hidratov malenkost višja pri padajočem vnosu, v primerjavi s konstantnim in naraščajočim vnosom. Oksidacija maščob pa je bila v primerjavi s konstantnim vnosom malenkost nižja pri padajočem vnosu.

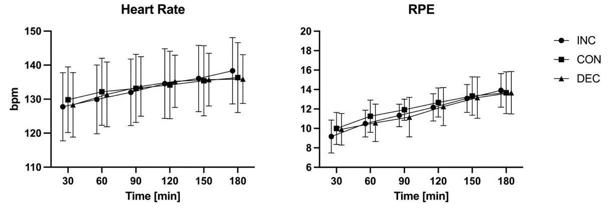
Frekvenca srčnega utripa in občutek napora (RPE) sta se sčasoma povečevala. Med pogoji pa ni prišlo do statistično značilnih razlik. Zaznali smo sicer zmerno do rahlo nižjo stopnjo zaznanega napora pri naraščajočem pogoju v primerjavi s konstantnim.

Občutek slabosti in želodčni krči so ves čas ostali na nizki ravni, medtem ko se je občutek polnosti v želodcu skozi čas postopoma povečeval v vseh pogojih. Občutek slabosti pa se je malce hitreje povečeval pri naraščajočem pogoju.

Kaj je zaključek študije?
Na podlagi pridobljenih rezultatov in pregleda literature domnevamo, da je bolj kot specifična strategija vnosa ogljikovih hidratov med kolesarsko dirko pomembno poskrbeti za redno in dovolj visoko uživanje ogljikovih hidratov med dirko (v priporočenih količinah 90 g/h).
S praktičnega vidika se sicer zdi, da je redno in enakomerno uživanje ogljikovih hidratov najbolj priporočljivo z vidika vpliva na oksidacijo substratov in parametre udobja prebavil. Vendar je v praksi med dirko včasih težko doseči reden in enakomeren vnos in takrat je lahko neenakomerna porazdelitev prednostna možnost brez negativnega vpliva na zmogljivost, dokler je vnos porazdeljen skozi celotno aktivnost.
Zaključili bi lahko, da je posamezno strategijo ob upoštevanju intenzivnosti med deli dirke smiselno individualno prilagoditi glede na predhodne izkušnje posameznika in prilagojeno prehransko strategijo.
Sočasno je na Liverpool John Moores University potekala podobna študija. Preiskovalci so preverjali dva različna vnosa ogljikovih hidratov, in sicer 22,5 gramov ogljikovih hidratov na vsakih 15 minut in 45 gramov ogljikovih hidratov vsakih 30 minut, med 180-minutnim kolesarjenjem. Pomembno je izpostaviti, da je vnos v obeh pogojih znašal 90 gramov ogljikovih hidratov na uro. Rezultati študije so pokazali, da med pogojema ni prišlo do statistično značilnih sprememb pri fizioloških odzivih na vadbo, oksidaciji substratov ali subjektivnem udobju v prebavilih. Zaključek študije torej precej sovpada z našim zaključkom ter dodatno poudarja pomen dovolj visokega vnosa ogljikovih hidratov.
Podobno študijo porazdelitve vnosa ogljikovih hidratov so leta 2020 objavili Menzies in sodelavci. Ta študija je bila izvedena na dobro treniranih tekačih. Primerjali so dve strategiji vnašanja ogljikovih hidratov, in sicer 15 vnosov po 5 gramov ogljikovih hidratov na vsakih 5 minut in na drugi strani 75 gramov ogljikovih hidratov po 75 minutah. Ugotovili so, da pogosto vnašanje ogljikovih hidratov od začetka teka učinkoviteje varčuje z mišičnim glikogenom v prvem delu vadbe. Posledično so tekači tekli dlje kot takrat, ko so ogljikove hidrate zaužili šele v poznejšem delu vadbe. Ključno sporočilo študije je, da zamujenega vnosa ogljikovih hidratov ni mogoče nadoknaditi z večjim enkratnim odmerkom proti koncu vadbe, saj se do takrat že poveča odvisnost od omejenih zalog mišičnega glikogena.**
Blaž Grmek, dietetik